Introduction: The prevention ofdisease transformation which typically occurs during the first years of treatment, is one of the critical goals of the treatment of CP-CML with TKI. In addition, treatment free remission (TFR) represents now another major challenge. In vitro data show that ponatinib is one of the most powerful inhibitors of wild-type as well as mutated BCR::ABL1 TK and this has been translated in heavily pre-treated CML patients (pts) intolerant or resistant to other compounds. In this trial we assessed the safety and efficacy of a 6-months debulking strategy using ponatinib as front-line therapy in newly diagnosed CP-CML, followed by a maintenance with imatinib, in order to bring a high proportion of pts in TFR.
Methods: This open-label phase II national academic trial (Clinical Trial: NCT04070443) enrolled newly diagnosed adult CP-CML pts ≤65 years, with a major BCR::ABL1 transcript and no significant underlying cardio-vascular disease, uncontrolled hypertension or diabetes with target organ damage, QTc prolongation and with adequate organ functions. They were stratified according to the ELTS score. The primary endpoint is the impact of ponatinib induction on the rate of pts reaching TFR criteria as defined by our group (Rea et al. Cancer, 2018) at M36. Secondary endpoints were the safety and clinical activity of this strategy, ponatinib pharmacokinetics (PK), QoL under both inhibitors and compliance. Pts were treated with ponatinib 30 mg QD for 6-months, followed by imatinib 400 mg QD until TFR criteria (i. e. MR4.5 ≥2 years) would been reached before M60. All molecular assessments were centralised and BCR::ABL1 transcripts were expressed in % on the international scale (IS). This analysis relies on the intention-to-treat principle.
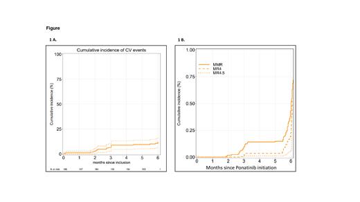
Results: One hundred and seventy-eight pts were screened, 170 enrolled and 169 treated between November 2019 and October 2022. Median age was 48 (18-65) years, 113 pts were males (67%). One pt had a cryptic Ph, and 15 (9%) pts harboured additional chromosomal abnormalities (ACA). Eighty-four (51.5%) pts had b2a2 and 99 (61%) b3a2 transcripts knowing that they could harbour both. ELTS were low for 67 (40%) pts, intermediate for 73 (44%) and high for 27 (16%). For 2 patients it could not be calculated (1 splenectomy, 1 no spleen assessment). European Society of Cardiology (ESC) score was <2% in 158/167 (93%) evaluable pts, 3-9% in 8 (5%) pts and >10% in 1 (2%) pt. One hundred and one (60%) pts never smoked, 46 (27%) were past smokers. The median follow-up at database lock was 18 (3-33) months. Only induction data are presented here. The median number of days on ponatinib is 172 (1-193) and the median dose of ponatinib delivered is 30 (16.5-32) mg daily. Overall, 135 grade 3-5 AEs occurred after a median of 51 (0-186) days: 123 (91%) grade 3, 11 (8%) grade 4 and 1 fatal AE; 49 (36%) were hematologic, and 86 (64%) non-hematologic, and 109 (81%) were considered as related to study treatment. Seven pts (5%) discontinued permanently ponatinib, and 56 (41.5%) received the full planned dose. Six (4.5%) Grade 3-5 cardiac events (1 fatal cardiac arrest) and 17 (12.5%) vascular events (15 newly hypertensive pts, 1 pulmonary embolism? 1 carotid stenosis) occurred. Their cumulative incidence is shown in Figure 1A. Digestive & clinical hepato-biliary events occurred in 10 (7.5%), infections in 7 (5%), lipase elevation in 15 (11%) and liver enzymes elevation in 20 (15%) pts. Eye, skin and neurologic events occurred in less than 2% of pts. Regarding efficacy, 147 evaluable pts/158 (93%) were in CHR at M1, 115 in CCyR (70.5%) at M3 and 158/163 (97%) in EMR. The median halving time (calculated with ABL1 as a reference gene) was 13.5 (11.5-17.5) days. The cumulative incidence of molecular response is shown in Figure 1B. Fourty-seven pts over 157 assessable (30%) were in deep molecular response at M6. One (0.6%) pt transformed into myeloid blast crisis, alive in CR before transplant. PK data and their relationship with safety and efficacy will be presented. Univariate analysis identified the halving time as the only factor impacting on MR4.5 at M6.
Conclusions: Ponatinib displays high anti-leukemic activity as front-line therapy in selected newly diagnosed CP-CML pts with high early molecular response rates with non-negligible severe -in particular cardio-vascular- toxicity at 30 mg QD. Whether or not this will be translated into substantial TFR rates will be determined at later time points.
OffLabel Disclosure:
Nicolini:Pfizer: Honoraria, Membership on an entity's Board of Directors or advisory committees; BMS: Honoraria, Membership on an entity's Board of Directors or advisory committees; SUN pharma: Honoraria, Membership on an entity's Board of Directors or advisory committees; INCYTE BIOSCIENCES: Honoraria, Membership on an entity's Board of Directors or advisory committees, Research Funding; Novartis: Honoraria, Membership on an entity's Board of Directors or advisory committees, Research Funding, Speakers Bureau. Charbonnier:Pfizer, Novartis, Incyte Biosciences: Honoraria. Escoffre-Barbe:Novartis, Incyte Biosciences: Honoraria. Jourdan:Novartis: Honoraria, Membership on an entity's Board of Directors or advisory committees; Abbvie: Honoraria, Membership on an entity's Board of Directors or advisory committees; BMS: Honoraria, Membership on an entity's Board of Directors or advisory committees; GSK: Honoraria, Membership on an entity's Board of Directors or advisory committees. Berger:Pfizer: Consultancy, Honoraria, Research Funding; Novartis: Consultancy, Honoraria, Research Funding; Incyte Biosciences: Honoraria, Research Funding. Amé:Incyte Biosciences: Honoraria; Pfizer: Honoraria; Novartis: Consultancy, Honoraria. Simonet:Novartis, Incyte Biosciences, Chugai Pharma: Honoraria. Johnson-Ansah:NOVARTIS: Consultancy, Honoraria; PFIZER: Consultancy; GILEAD: Consultancy. Dubruille:Novartis, Incyte Biosciences: Honoraria. Rousselot:Incyte Biosciences: Honoraria, Research Funding. Cayssials:Incyte Biosciences: Honoraria, Speakers Bureau. Meunier:Pfizer, Novartis, Alexion: Honoraria. Coiteux:Pfizer: Honoraria; Incyte Biosciences: Honoraria, Speakers Bureau; Novartis: Honoraria. Legros:Incyte Biosciences: Honoraria; NOVARTIS: Honoraria, Other; Correspondances en Hématologie: Consultancy, Honoraria, Speakers Bureau; PFIZER: Honoraria; AMGEN: Honoraria; BMS: Honoraria. Etienne:Novartis: Consultancy, Honoraria, Research Funding; BMS: Honoraria; Pfizer: Honoraria; Incyte biosciences: Honoraria. Quittet:Novartis: Honoraria, Speakers Bureau. Roy:BMS: Honoraria, Research Funding; Pfizer: Honoraria; Novartis: Honoraria, Research Funding, Speakers Bureau; Incyte biosciences: Honoraria. Dulucq:Novartis, Incyte Biosciences: Honoraria, Speakers Bureau. Huguet:Amgen: Consultancy, Membership on an entity's Board of Directors or advisory committees; Clinign: Consultancy, Membership on an entity's Board of Directors or advisory committees; Gilead: Consultancy, Membership on an entity's Board of Directors or advisory committees; Incyte Corporation: Consultancy, Membership on an entity's Board of Directors or advisory committees; Novartis: Consultancy, Membership on an entity's Board of Directors or advisory committees; Pfizer: Consultancy, Membership on an entity's Board of Directors or advisory committees; Servier: Consultancy, Membership on an entity's Board of Directors or advisory committees.
Ponatinib is not licensed as front-line therapy in CP CML

